来源:X一MOL资讯
N-酰基烯胺类化合物 (Enamides) 作为一种具有良好的稳定性和反应活性的烯胺逐渐进入了学界的视野。与此同时,该类化合物也是许多天然产物和药物中的重要结构单元,因此,通过碳-氢官能化反应对N-酰基烯胺类母核进行结构修饰,进而发展出一系列绿色高效实用的有机合成方法学,并将其有效运用于天然产物及药物的全合成之中,成为了一个新兴的课题。
近年来,针对N-酰基烯胺类化合物的区域及立体选择性官能化反应如雨后春笋般蓬勃发展,在学界的不断努力下,已经陆续实现了该类化合物β-C(sp2)-H位置上的芳基化、烯基化、三氟甲基化、炔基化、酰基化、砜基化等一系列实用的化学转化。
然而,N-酰基烯胺类的烷基化反应一直以来都是一个极具挑战性的课题。南京大学俞寿云教授在此前报道了光催化的N-酰基烯胺与缺电子溴代丙二酸二乙酯之间的偶联反应;罗德平教授课题组也利用钯催化实现了类似的转化,将缺电子的二级烷基引入到N-酰基烯胺。芝加哥大学董广斌教授则利用酮与异吲哚啉-1-酮反应生成的N-酰基烯胺中间体为导向模板,通过烯胺β位sp2碳-氢活化形成乙烯基铱活性中间体,再由该中间体与未活化的脂肪族或芳香族烯烃发生反应,区域选择性的获得sp2-sp3偶联产物。在以上为数不多的例子中,仅限于将二级烷基引入到N-酰基烯胺骨架中,同时需要用到较为苛刻的反应条件。因此,在更温和,更经济,对环境更友好的反应条件下以更宽的底物适用范围实现N-酰基烯胺的区域及立体选择性烷基化反应,成为了亟待解决的热点问题。
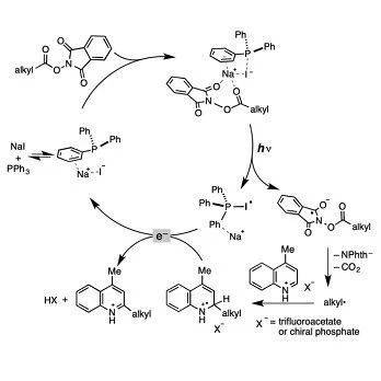
近日,南京工业大学先进化学制造研究院赵恺副教授及罗德平教授报道了光催化的N-酰基烯胺与N-羟基邻苯二甲酰亚胺酯 (NHP esters) 的脱羧偶联反应,以很好的官能团适用性和底物普适性顺利地实现了N-酰基烯胺的区域及立体选择性烷基化反应。值得一提的是,该方法可以将1°、2° 或3°等各类烷基方便的导入到N-酰基烯胺的C-3位,立体选择性的获得E-式构型的产物 (图1)。

图1. N-酰基烯胺的区域及立体选择性烷基化反应
作者首先考察了N-酰基烯胺类底物的适用范围 (图2),发现取代基的空间及电子效应对反应的影响较小,同时,卤素、酯基、三氟甲基等官能团都能很好的兼容上述反应,以理想的收率和立体选择性获得相应的目标产物。杂环类、N-Boc及N-Cbz取代的底物都能顺利地与N-羟基邻苯二甲酰亚胺酯偶联,取得了理想的结果。

图2. N-酰基烯胺的底物拓展
此后,作者又对N-羟基邻苯二甲酰亚胺酯上的烷基取代基的进行了普适性考察 (图3)。研究表明,1°、2° 或3°等各类烷基取代基均可以很好的参与上述反应,尤为值得一提的是,由氨基酸及脱氢胆酸衍生的活性酯也可以顺利的与N-酰基烯胺发生偶联反应,从而构建一系列具有潜在生理及药理活性的新型骨架。
值得注意的是,该反应在克级规模下亦可以顺利进行,反应的收率略有降低,立体选择性不受影响 (图 4a)。与此同时,为了进一步体现该方法学在有机合成中的应用价值,作者对烷基化的N-酰基烯胺进行了一系列的衍生化 (图 4b)。包括(i):在三氟乙酸的作用下实现产物的构型转化,将E-式构型的产物转化成位Z-式产物;(ii) 利用钯催化的分子内Heck反应构建异喹啉骨架;(iii) 利用钯碳氢化合成烷基取代的胺类化合物;(iv) 通过水解反应构建α-烷基酮类化合物;(v) 通过与m-CPBA的反应构建α-乙酰氧基烷基酮;(vi) 在ZnBr2的作用下脱除N-Boc保护基等。
作者还对反应机理进行的详尽的探讨,并对反应的光量子产率进行了测定 (Ф= 0.71),排除了自由基链式反应的可能。

图3. N-羟基邻苯二甲酰亚胺酯的底物拓展

图4. 烷基化的N-酰基烯胺的衍生化反应
综上所述,赵恺副教授及罗德平教授在温和且环境友好的条件下,以优异官能团兼容性及很好的底物适用范围,顺利实现了N-酰基烯胺的区域及立体选择性烷基化反应,并对反应的机理进行深入研究。同时对所获得的产物进行结构修饰,以构建一系列新型的含氮杂环化合物及新型有机功能材料,为N-酰基烯胺类化合物在有机合成中的策略性应用开辟一条崭新的道路。
相关工作发表于Chemical Science上,本文第一作者为郭经宇博士。
来源:X-molNews X一MOL资讯
原文链接:http://mp.weixin.qq.com/s?__biz=MzAwOTExNzg4Nw==&mid=2657620359&idx=4&sn=6a65992673745c144d6e59f66ecbac64&chksm=80f83857b78fb1414861cdeb36a94b30f22bb46ea58e5e92bb70a782d7b45790aceee249c04a&scene=27#wechat_redirect
版权声明:除非特别注明,本站所载内容来源于互联网、微信公众号等公开渠道,不代表本站观点,仅供参考、交流、公益传播之目的。转载的稿件版权归原作者或机构所有,如有侵权,请联系删除。
电话:(010)86409582
邮箱:kejie@scimall.org.cn