来源:中国科学院
当二维材料的厚度降低至原子级幅度时可导致很多新奇物理现象的出现,使得二维材料成为当今凝聚态物理和材料科学的研究热点。二维铁磁体作为二维材料家族的重要组成部分,因其独特的物理特性而备受关注。通常,随着二维铁磁体厚度的降低,其铁磁有序居里温度TC也会降低,鲜有材料会随着厚度的降低TC反而升高。
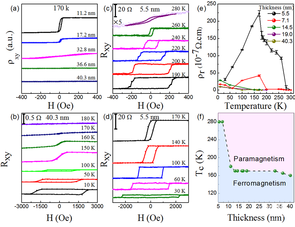
近期,中国科学院物理研究所/北京凝聚态物理国家研究中心磁学国家重点实验室研究员龙有文团队和武汉大学物理科学与技术学院教授何军团队合作,对不同厚度的Cr2Te3样品进行了研究,发现其TC随着材料厚度的降低而逐渐升高,直到厚度低于二维极限(~10 nm)时,TC由块体的160 K急剧上升至室温附近(约280 K),并通过理论计算揭示了这一反常现象的机理。
一直以来,根据Mermin-Wagner理论,由于热扰动的影响,长程的铁磁有序很难在二维材料中形成。但是,近期一系列二维层状材料,比如Cr2Ge2Te6,CrI3以及VSe2等的长程铁磁性被发现,掀起了层状材料(层与层之间由范德瓦尔斯键连接)磁性研究的热潮。然而到目前为止,对于非层状铁磁材料(原子之间由非范德瓦尔斯键连接)不断变薄直至1个元胞左右厚度的磁性演化却缺乏相关的研究。为探索二维非层状材料的铁磁行为,研究团队生长出了不同厚度的Cr2Te3,并对其结构、电输运、磁性以及反常霍尔效应等进行了详细表征。研究表明,当厚度大于12 nm时,材料展示了与块体类似的铁磁行为,其TC仅随厚度降低略有升高。然而,当厚度降低至6个元胞厚度时(约7.1 nm),Tc急剧上升至室温附件,可高达280 K,展示了与其他铁磁材料TC随厚度变化截然相反的规律。进一步通过理论计算,团队发现Cr2Te3铁磁居里温度随厚度的反常变化可能源于材料表面原子的重构,使得表面原子间距离变短,铁磁相互作用增强,该结论进一步获得了X光衍射结果的佐证。本工作率先发现了铁磁居里温度随厚度降低而急剧升高的反常现象,为深入研究二维材料特别是非层状二维材料的新奇物理性质提供了范例。
相关研究结果发表在近期的Nano. Lett. 上(20,3130,2020)。该工作获得科技部(2018YFE0103200,2018YFA0305700)、国家自然科学基金委(11934017,51772324,11921004,11574378)、中科院(QYZDB-SSW-SLH013,GJHZ1773)等的支持。

图1:Cr2Te3具有三方晶体结构。

图2:二维Cr2Te3具有铁磁性,在280 K和180 K附近出现两个磁转变。

图3:不同厚度Cr2Te3铁磁居里温度TC随厚度的变化关系,低于二维极限(~10 nm)时,TC急剧上升到室温附件(约280 K)。

图4:理论计算和XRD测试表明二维Cr2Te3表面原子可能会重构,使得表面原子间距离变短,从而导致TC急剧升高。
来源:中国科学院
原文链接:http://www.cas.cn/syky/202005/t20200526_4747867.shtml
版权声明:除非特别注明,本站所载内容来源于互联网、微信公众号等公开渠道,不代表本站观点,仅供参考、交流、公益传播之目的。转载的稿件版权归原作者或机构所有,如有侵权,请联系删除。
电话:(010)86409582
邮箱:kejie@scimall.org.cn