近期,中国科学院合肥物质科学研究院强磁场科学中心与固体物理研究所的科研人员合作,对二维铁磁/反铁磁材料开展了系列研究,在二维磁性材料居里温度提升(室温铁磁碳纳米片)、二维磁性材料类型拓展(二维有机反铁磁聚合物)方面分别取得了进展。相关成果分别发表在Journal of Physical Chemistry C 和Polymer Chemistry(内封面)期刊上。
磁性材料是自旋电子器件的基础。二维磁性材料的研发为未来尺寸更小、能耗更低的自旋电子学器件的实现提供了可能,因而成为材料物理领域的新宠。目前,该领域有两个方面的研究备受关注:其一是提高二维体系的居里温度,最好能到室温以上;其二是拓展二维磁性材料的类型,除了无机的还需要有机的,除了铁磁的还需要反铁磁的。
目前,大多数二维磁性是通过机械剥离三维磁性晶体来实现的。这类体系的本征居里温度普遍较低(< 250 K)。提高居里温度,除了元素掺杂、外场调控,缺陷工程也是重要的备选方案之一。已有理论和实验证实,在非金属、轻元素系统中的s-p电子间也可以建立强的磁性耦合,而且有可能实现高于室温的转变温度。因此在原本的非磁二维材料上,通过缺陷工程(掺杂、吸附、点缺陷、边缘、自由基等)引入磁性也是极具前景的,这种非本征磁性有望实现更高的转变温度。
通过合作研究,项目组用武兹反应合成内嵌石墨纳米晶的无定形碳纳米片,并发现由石墨纳米晶的锯齿形边界(zigzag edge)引起的室温铁磁强度可达0.22emu/g,比此前报道的点缺陷诱导的石墨室温铁磁强度大两个数量级。结合进一步的实验和第一性原理计算,研究人员发现碳纳米片的磁性主要依赖于锯齿形边界间的距离,随着距离由3.6nm减小0.8nm,边界间的磁性耦合由铁磁转变为反铁磁。室温铁磁性是二维磁性材料走上应用的前提,这些发现为碳基磁性材料的应用提供了可行性。
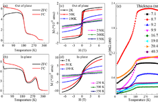
另一方面,在大量无机二维磁性材料研究的背后,二维有机磁性材料的制备仍面临挑战。迄今为止,仅发现一种二维有机铁磁材料,具有反铁磁行为的二维有机材料更是有待开发。项目组首先设计并合成了三(2,3,5,6-四氯-4-乙炔基苯基)甲基自由基作为单体,然后通过自由基单体在液/液界面的聚合,制备了独立的二维有机磁性聚自由基(OMP)纳米片。通过自由基之间的磁交换耦合,获得的二维OMP纳米片具有反铁磁特性,奈耳温度达到42.5K。据了解,这是首次展示具有反铁磁特性的新型二维有机结构人工材料,该材料可作为二维有机自旋电子器件的基本组成部分。该工作被Polymer Chemistry选为当期内封面。
上述研究工作获得国家自然科学基金、国家重点研发专项、中科院前沿科学重点研究项目的支持。

图1:锯齿形边界导致的室温铁磁性碳纳米片示意图

图2:二维反铁磁聚自由基纳米片的封面以及磁性数据
内容来源:中国科学院
来源:中国科学院
原文链接:http://www.cas.cn/syky/202004/t20200424_4742410.shtml
版权声明:除非特别注明,本站所载内容来源于互联网、微信公众号等公开渠道,不代表本站观点,仅供参考、交流、公益传播之目的。转载的稿件版权归原作者或机构所有,如有侵权,请联系删除。
电话:(010)86409582
邮箱:kejie@scimall.org.cn