具有宽带探测能力的光电探测器在日常生活的许多领域中发挥重要作用,并已广泛应用于成像、光纤通信、夜视等领域。迄今为止,基于传统材料的光电探测器(如GaN 、Si和InGaAs)占据着从紫外到近红外区域的光电探测器市场。然而,相关材料复杂的生长过程和高昂的制造成本阻碍了这些探测器的进一步发展。为了应对这些挑战,科学家致力于开发具有可调带隙、强光-物质相互作用且易于集成的二维材料光电探测器。
如今,许多二维材料如石墨烯、黑磷和碲等已表现出优异的宽带光探测能力。尽管如此,目前基于二维材料的高性能宽带光电探测器数量仍然有限,特别是许多基于二维材料的光电探测器虽然表现出较高的光响应度和探测率,但响应速度较慢,这或归因于其较长的载流子寿命,这种较低的响应速度限制了二维光电探测器的实际应用。近日,石墨烯、黑磷和部分过渡金属二硫属化物(TMDs)范德华异质结器件已展现出二维材料在高速宽带光电探测领域的潜力。然而,石墨烯是一种零带隙材料,黑磷在环境条件下不稳定,TMDs异质结的制造工艺相对复杂,这限制了这些材料在光电探测领域的应用。
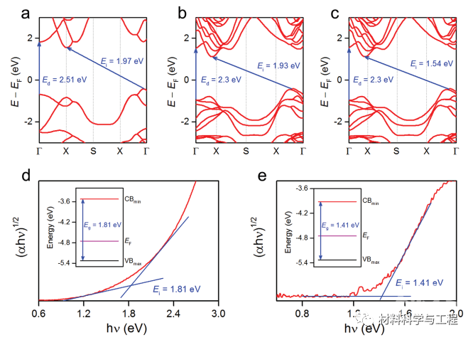
鉴于此,研究开发了一种基于层状三元碲化物InSiTe3的光电探测器,合成出高质量的InSiTe3晶体,并通过拉曼光谱分析了其拉曼振动模式。InSiTe3的间接带隙可以从1.30 eV(单层)调节到0.78 eV(体块)。此外,基于InSiTe3的光电探测器表现出从紫外到近红外光通信区域(365-1310 nm)的超快光响应(545-576 ns),最高探测率达到7.59×109 Jones。这些出色的性能价值凸显了基于层状InSiTe3的光电探测器在高速宽带光电探测中的潜力。研究工作得到国家自然科学基金、安徽省领军人才团队项目、安徽省自然科学基金、安徽省先进激光技术实验室开放基金和香港理工大学的支持。

基于层状InSiTe3光电探测器的(a)光谱响应与 (b)已经报道的部分二维材料光电探测器的性能对比图
内容来源:中国科学院
来源:中国科学院
原文链接:http://www.cas.cn/syky/202205/t20220506_4833717.shtml
版权声明:除非特别注明,本站所载内容来源于互联网、微信公众号等公开渠道,不代表本站观点,仅供参考、交流、公益传播之目的。转载的稿件版权归原作者或机构所有,如有侵权,请联系删除。
电话:(010)86409582
邮箱:kejie@scimall.org.cn