来源:宏基因组
关于随机森林的简介和应用理论,请阅读之前分享的文章:
一文读懂随机森林在微生态中的应用
关于随机森林进行分类的入门实战,请阅读之前分享的
《RandomForest:随机森林预测生物标记biomarker——分类》,
大家可以学习此文,实现分组挖掘两组或多组的特异Features,也可以展示特征的贡献度,获得分类评估的准确度,以及使用新数据进行预测,无监督的随机森林等基础技能。
今天我们讲使用randomForest实现回归分析的实战代码。回归的应用主要包括时间序列预测模式,如预测股票、尸体死亡时间等。
本节不需要先验知识可也直接学习使用。
RandomForest安装与加载# 安装install.packages("randomForest")
# 加载
library(randomForest)回归Classification
先了解一下输入数据格式,方便准备
使用R内置按天记录的空气质量数据
data(airquality)head(airquality)
数据包括157天中,臭氧、太阳强度、风和温度,部分有缺失。前4列属性数据,后2列时间月和日为分组数据。
Ozone Solar.R Wind Temp Month Day1 41 190 7.4 67 5 1
2 36 118 8.0 72 5 2
3 12 149 12.6 74 5 3
4 18 313 11.5 62 5 4
5 NA NA 14.3 56 5 5
6 28 NA 14.9 66 5 6
设置随机数种子保证结果可重复
set.seed(315)随机森林回归臭氧与其它所有属性
ozone.rf= randomForest(Ozone ~ ., data=airquality, mtry=3,importance=TRUE, na.action=na.omit)
print(ozone.rf)
结果如下:包括分析的命令,分析类型,树数量,重要的变量(Feature)个数,平均残差平方,解析率。
Call:randomForest(formula = Ozone ~ ., data = airquality, mtry = 3, importance = TRUE, na.action = na.omit)
Type of random forest: regression
Number of trees: 500
No. of variables tried at each split: 3
Mean of squared residuals: 304.4269
% Var explained: 72.26
查看每个变量的分类贡献度,显示仅保留两位小数可读性更好
round(importance(ozone.rf), 2)%IncMSE IncNodePurity
Solar.R 10.40 10833.08
Wind 23.55 43838.66
Temp 47.13 53731.95
Month 2.04 1504.72
Day 0.91 6306.42
结果为每个相关变量对应两列值。%IncMSE是Increased in mean squared error (%),直译为增长的错误率平方均值,即去除该变量后,对目标预测的准确度下降的低,可理解为对目标变量预测准确的贡献度。IncNodePurity是Increased node purity,是另一种评估的方法。这里我们只关注%IncMSE就够了。
varImpPlot(ozone.rf)
airquality = na.omit(airquality)
myairquality= cbind(airquality[1:6], matrix(runif(96 * nrow(airquality)), nrow(airquality), 96))
# 交驻验证添加了随机数的训练集,分组,交叉验证的次数
result= rfcv(myairquality, airquality$Ozone, cv.fold=3)
# 绘制错误率曲线,观查错误率与使用Markers数量的变化
with(result, plot(n.var, error.cv, log="x", type="o", lwd=2))

我们看到一个现象,不是feature越多越好,无关的feature如果多了,反而错误率上升,会影响预测的准确度。
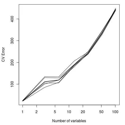
result= replicate(5, rfcv(myairquality, airquality$Ozone), simplify=FALSE)
error.cv= sapply(result, "[[", "error.cv")
matplot(result[[1]]$n.var, cbind(rowMeans(error.cv), error.cv), type="l",
lwd=c(2, rep(1, ncol(error.cv))), col=1, lty=1, log="x",
xlab="Number of variables", ylab="CV Error")

多次验证结果类型,更能说明结果的可信度。
严谨总没有坏处,好的结果都是多角度证明的。
大家学习随机森林的分类、和回归。将来有时间,将带大家上手重复一些高水平文章中的分析,结合具体生物学问题会更有意思。
来源:meta-genome 宏基因组
原文链接:https://mp.weixin.qq.com/s?__biz=MzUzMjA4Njc1MA==&mid=2247489338&idx=4&sn=be225412a9bc6d37fbd3070d1f73f8b4&chksm=fab9fd8bcdce749d3c572b92eae23aa7a3beaaba0c635de3dfb87b068eb72c058cb0e8011d9d#rd
版权声明:除非特别注明,本站所载内容来源于互联网、微信公众号等公开渠道,不代表本站观点,仅供参考、交流、公益传播之目的。转载的稿件版权归原作者或机构所有,如有侵权,请联系删除。
电话:(010)86409582
邮箱:kejie@scimall.org.cn