来源:材料科学与工程
对于一维导电体系,电子的运动受维度限制只能沿前后两个方向运动,因此一维体系的所有电子相互关联,表现为集体运动的形式,不再有费米液体理论所描述的准粒子存在,只能由Luttinger液体理论来描述。由于一维体系电子的集体运动,Umklapp scattering(倒逆散射)效应对一维导电体系的电学行为具有非常重要的影响,引发金属绝缘体相变。在压力调控的维度演化过程中,伴随多种相互作用的此消彼长,可产生丰富的量子演生现象。目前对准1维导电材料的研究主要集中在(TMTSF)2X(X=TaF6,AsF6,PF6,ClO4,ReO4)和(TMTTF)2X等有机材料,这些有机材料结构复杂,缺乏对维度过渡物理现象的深入研究。
最近,中国科学院物理研究所/北京凝聚态物理国家研究中心极端条件物理重点实验室靳常青研究组的望贤成副研究员带领博士生张俊,运用高压高温技术制备了准一维新材料Ba3TiTe5。研究工作近期发表在Springer Nature出版社NPG Asia Materials 11, 60 (2019) 上,入选编辑推荐文章,研究得到国家重点研发计划和基金委项目资助。
论文链接:
https://www.nature.com/articles/s41427-019-0158-2
他们的研究结果表明:
Ba3TiTe5的电子能带结构具有典型的一维导电特征,实验发现该材料由于倒逆散射,发生了金属~绝缘体相变,呈现半导体行为。
压力增大导电链之间电子跃迁几率,倒逆散射导致的金属~绝缘体相变被完全抑制,体系从Luttinger液体向三维金属过渡,同时伴随超导现象;离开Luttinger液体区域,超导转变温度Tc开始下降,表明超导现象与Luttinger液体失稳相关。
进一步增大压力,Ba3TiTe5材料体系进入三维金属区域,部分费米面嵌套,导致体系发生自旋密度波转变;伴随压力抑制自旋密度波,超导转变温度Tc开始上升,并在自旋密度波转变被完全抑制的压力点达到最高Tc,此时体系由于量子临界涨落表现为非费米液体行为;继续增大压力,体系远离该量子临界点,并逐渐向传统的费米液体行为过渡,同时超导Tc缓慢下降。
综上,通过压力连续作用,Ba3TiTe5材料呈现了维度调控的丰富的量子演生现象。这种维度连续过渡很难通过化学或其它外场方法实现,压力凸显了与众不同的维度调控优势,为系统揭示维度演化诱发的材料新性能提供了机遇。以上工作包括实验和理论,涉及高压极端条件样品合成、高压低温强场物性调控、以及电子结构计算,得到胡江平研究员、北京高压研究中心/南方科技大学朱金龙教授、南京理工大学李志教授的密切合作。(来源:中科院物理所)

图1:Ba3TiTe5的晶体结构(a)、常压能带结构(b)及费米面(c)。其晶体结构中含有沿c方向的共面八面体TiTe6链,TiTe6链位于ab面内三角格点上,在三角格子的中心有一个Te原子链。TiTe6链和Te原子链由Ba2+离子隔开,形成一维导体。

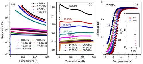
图2:压力调控准一维材料Ba3TiTe5的磁电特性演化。(a) 在0-18.9 GPa压力范围的电阻随压力变化:在较低压力由于倒逆散射效应材料呈现半导体行为;在6.7-8.8 GPa压力区间,低温电阻数据间突然下降5个数量级,表明倒逆散射效应对电子输运行为的影响被抑制,一维金属开始向三维金属过渡;同时在8.8 GPa压力点观察到超导迹象。(b) 在20.2-58.5 GPa压力范围的电阻随压力变化:除了超导现象之外,在低温还发生了金属~半导体转变,对应于SDW/CDW的产生;同时在36.7 GPa压力附近观察到低温线性电阻行为,对应于SDW/CDW被抑制后的量子临界点。(c) 在17.3 GPa压力,超导转变随磁场向的演化,由此可以估算临界场。

图3:准一维材料Ba3TiTe5压力调控的维度次第变化诱发的量子演生相图。
来源:mse_material 材料科学与工程
原文链接:http://mp.weixin.qq.com/s?__biz=MzA4NDk3ODEwNQ==&mid=2698823237&idx=4&sn=d2910c487886cb62bdad86139511aaf5&chksm=baf696938d811f8501897f8ace18a16a6939b916b51d20211aa3b3e8248d4842213cd11e2631&scene=27#wechat_redirect
版权声明:除非特别注明,本站所载内容来源于互联网、微信公众号等公开渠道,不代表本站观点,仅供参考、交流、公益传播之目的。转载的稿件版权归原作者或机构所有,如有侵权,请联系删除。
电话:(010)86409582
邮箱:kejie@scimall.org.cn