来源:研之成理

背景介绍
催化剂的稳定性及其寿命是评价催化剂在异相催化应用中的重要指标。传统的热催化反应体系中,金属颗粒的团聚,积碳以及催化剂中毒是引起催化剂失活的主要原因。而低温等离子体(NTP)催化反应体系可以在环境条件下激活表面催化反应,例如水煤气转换(WGSR)、甲烷氧化和CO2转化等。因此,NTP具有实现催化过程的低温活化的独特特征,有效的抑制了催化剂的烧结和积碳问题。
另外,NTP产生的高活性反应物种之间的碰撞可以促进催化剂表面的强吸附物种的脱附,进而促进了活性位点的再生,提高催化剂的抗中毒能力。然而,低温等离子催化体系极其复杂,迄今为止还没有利用原位表征技术例如原位红外光谱(in situ DRIFTS)来研究在低温等离子催化反应中催化剂的失活,抗中毒及其再生机理。本文以CO2加氢反应为例,利用原位DRIFTS-MS表征技术对比了热催化和低温等离子催化CO2加氢反应中催化剂的CO中毒机理并探讨了低温等离子体在有效遏制催化剂的失活,提高催化剂稳定性方面的优势。
研究出发点
对比研究在热催化和低温等离子催化体系中,CO的存在对Ru基催化剂在CO2加氢反应中的活性影响,并利用原位红外漫反射光谱-质谱(in situ DRIFTS-MS)联用技术系统的研究了Ru催化剂的CO2加氢的反应路径,CO对该反应路径的影响以及催化剂在低温等离子催化体系中的抗CO中毒和高稳定性的机理。
图文解析

▲图1.(a)热催化CO2加氢反应 (330 °C);(b)低温等离子催化CO2加氢反应 (6.5 kV, 21 kHz)中,CO对Ru/SiO2催化剂的活性影响,以及催化剂再生处理后CO2加氢反应的活性测试。(反应条件:H2/(CO2+CO)=3,CO/CO2=0.5)
要点解读:
(a)研究表明,在热催化CO2加氢反应中,经过9h的催化剂活性测试后,CO2,CO的转化率分别降低了42% 和7%, 表明CO分子会造成Ru基催化剂的失活,;当反应气体中CO被移除后,CO2的转化率仅能恢复至初始转化率的93%;随后在Ar气氛下对催化剂进行高温再生处理后发现,催化剂对CO2加氢反应的活性并没有恢复,说明催化剂的失活是不可逆的。
(b)对比发现,在NTP催化CO2加氢反应中,CO2的转化率非常稳定,而CO的转化率下降了6%,说明等离子体反应体系可以很好的维持催化剂的CO2加氢反应活性。当CO从反应气体中移除后,催化剂可以慢慢恢复到初始的反应活性,说明催化剂在该反应体系中可以再生,这是因为等离子体产生的活性组分之间的碰撞会有效的移除催化剂表面的强吸附分子,实现活性位点的再生。

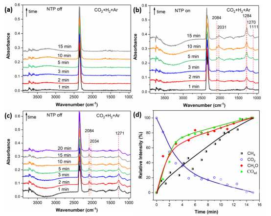
▲图2.NTP催化CO2+H2反应中Ru/SiO2催化剂表面的原位DRIFTS光谱。(a) NTP-off,(反应气体:3% CO2 + 9% H2 + Ar);(b) NTP-on,(5.5 kV, 27 kHz)(反应气体:3% CO2 + 9% H2 + Ar); (c) NTP-off again, (反应气体:3% CO2 + 9%H2 + Ar); (d)等离子体点燃后CO2, CH4和催化剂表面活性物种的浓度随着时间的变化曲线;
要点解读:
原位DRIFTS表明,在等离子体点燃之前,除了气相的CO2,催化剂表面未观察到活性物种的峰, 说明未有吸附的碳基物种的产生;在等离子体点燃后,在1111-1284 cm−1 的强吸收峰对应于产生的甲酰基(CHxO)活性物种,在2034和2084 cm−1 的强吸收峰对应于吸附的 COad 物种,这些物种在等离子点燃后浓度增加,并且伴随着CH4浓度的升高和CO2浓度的降低,表明这些物种是CO2加氢反应的活性中间体。基于原位DRIFTS光谱数据,等离子体催化CO2加氢反应中,CO2先被转化为COad,然后COad再与H反应生成甲酰基(CHxO)物种,进而加氢生成CH4。而在热催化反应CO2加氢反应中,原位DRIFTS光谱表明CO2是按照碳-氧键断裂机理 (carbon-oxygen bond dissociation mechanism) 进行的, 这说明低温等离子催化CO2加氢反应产生了新的反应路径 。

▲图3.等离子催化CO+H2反应中Ru/SiO2催化剂的原位DRIFTS-MS表征。(a)在原位DRIFTS-MS测试中,反应气体和产物浓度在NTP点燃前后的变化。NTP点燃前后原位DRIFTS光谱:(b) NTP-off,(反应气体:3% CO + 9% H2 + Ar);(c-d) NTP-on,(5.5 kV, 27 kHz)(反应气体:3% CO + 9% H2 + Ar); (e) NTP-off again, (反应气体:3% CO2 + 9% H2 + Ar); (f)等离子体点燃后吸附的CO和催化剂表面活性物种的浓度随着时间的变化;
要点解读:
(a)等离子体点燃后,质谱中CO2浓度的升高和原位DRIFTS光谱中CO2峰的出现表明了CO2的生成。与热催化CO加氢反应生成CH4相比,等离子体不仅能够有效的催化CO加氢生成CH4,还可以激发加氢反应中生成的H2O与CO反应生成CO2(即水煤气转换反应),水煤气转换反应的存在既消除了H2O分子对催化剂的失活影响又可以促进CO2加氢反应平衡向生成CH4的方向进行。(b)与CO2加氢反应的原位DRIFTS对比,CO加氢反应同样生成了COad和甲酰基(CHxO)活性物种, 说明二者加氢反应生成CH4的反应路径相似。因此在低温等离子激活CO2加氢反应中,CO的存在并没有改变反应路径。

▲图4. 热催化和等离子催化CO2/CO加氢反应的原位DRIFTS对比。
要点解读:对比热催化和等离子催化CO2加氢反应的原位DRIFTS,在热催化反应中,CO 的吸收峰强度很高,表明CO分子可以强烈的吸附在催化剂的表面,占据催化剂的活性位点,使催化剂快速的失活;而在等离子体条件下,CO的吸收峰强度较低,说明等离子体可以有效的移除表面强烈吸附的CO,释放活性位点用于CO2的吸附,因此等离子体促进了CO2在催化剂表面的吸附,有效的提高了催化剂对CO2加氢反应的稳定性。
总结与展望
在多相催化中,催化剂的稳定性是评价催化剂的重要指标。在传统的热催化CO2加氢反应中,微量的CO即可使催化剂失活。在NTP催化CO2加氢反应中,催化剂表现出了优异的抗CO中毒能力,高稳定性以及可再生能力。等离子体的低温活化催化反应,有效的抑制了催化剂的烧结和积碳问题;并且等离子体激发的活性反应物种可以有效的移除催化剂表面的强吸附分子,是活性位点得以释放并吸附CO2分子,促进催化剂的稳定性。
来源:rationalscience 研之成理
原文链接:http://mp.weixin.qq.com/s?__biz=MzUxMDMzODg2Ng==&mid=2247548246&idx=4&sn=10edc6baa13a47f90edff4e0d4677a59
版权声明:除非特别注明,本站所载内容来源于互联网、微信公众号等公开渠道,不代表本站观点,仅供参考、交流、公益传播之目的。转载的稿件版权归原作者或机构所有,如有侵权,请联系删除。
电话:(010)86409582
邮箱:kejie@scimall.org.cn