来源:e药环球
Omega-3脂肪酸,尤其是鱼油成分,对心血管健康的影响多年来都是一个热门问题。尽管膳食补充是否有效仍无定论,但《美国心脏病学会杂志》(JACC)最新发表的一项新研究再次引起了关注。
这项研究通过血液分析证据表明,常吃富含omega-3的食物与心梗患者的健康结局改善有关,而且omega-3的两种亚型——ALA(α-亚麻酸)和EPA(二十碳五烯酸)可能具有协同保护作用。
同期发表的JACC社论表示,omega-3脂肪酸的生物学非常复杂,从“omega-3脂肪酸研究的变革”来看,随着更多研究的开展,包括这项设计良好、新颖的研究在内,我们对此的理解正在不断发展。
这是一项大型前瞻性观察性研究,共纳入了944例经历了ST段抬高型心肌梗死(STEMI)、且接受了经皮冠状动脉介入治疗的患者。STEMI是一类非常严重的心梗,心脏的主要动脉阻塞,因预后不佳,常被形容为“寡妇制造者”。
这些患者平均61岁,78%为男性。在他们住院治疗期间,研究人员采集了他们的血液样本并通过气相色谱方法测定了血液omega-3的水平——这能够可靠反映他们在心梗前几周的omega-3摄入量。比起通常营养流行病学研究采用的饮食问卷,结果更准确。不同于大多研究着眼于鱼油成分的omega-3,这项研究还同时分析了海洋油性鱼类和植物来源的omega-3成分——EPA和ALA,ALA通常存在于核桃、奇亚籽、亚麻籽、大豆等食物中。
在此后3年中,研究人员对这些患者的心梗后并发症进行了随访。期间有211例患者发生主要不良心血管事件(MACE),108例死亡和130例因心血管问题再次入院。
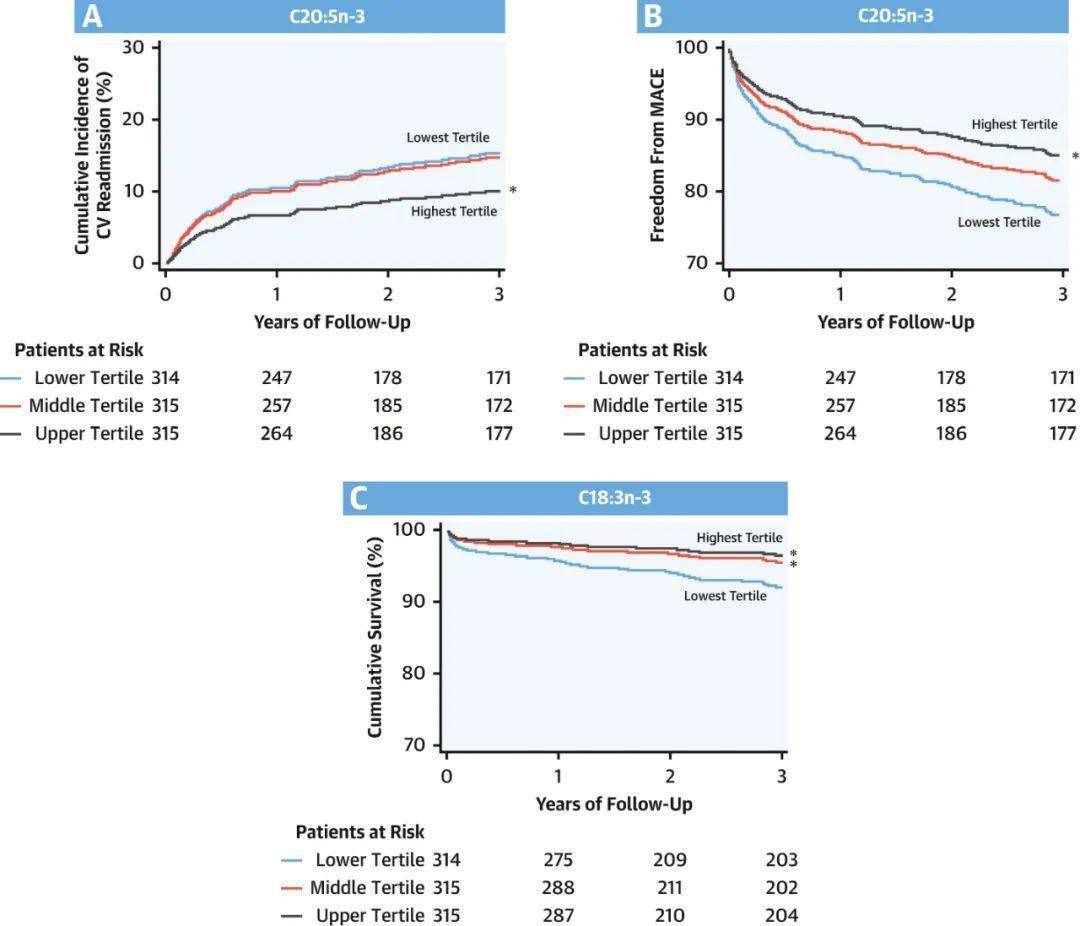
统计分析表明,在调整年龄、性别、合并疾病史等因素后,3年前血液中EPA水平较高(前1/3)的人,MACE风险显著降低24%,心血管原因再次入院风险显著降低26%;3年前血液中ALA水平较高也与全因死亡率下降35%有关,ALA水平也显示出了降低MACE风险的趋势,但尚不显著。
▲血液中EPA含量和血管原因再次入院风险(A),EPA含量和MACE风险(B),ALA含量和全因死亡风险(C)
值得注意的是,EPA和ALA对不同结局的影响提示,两者的作用机制可能是非竞争性的、互补的。因此,研究团队建议,可以将两者作为心血管健康的饮食补充组合。这也呼应了前不久哈佛医学院学者领衔的一项大规模研究结果,这项研究阐明了不同omega-3成分对心血管系统的作用差别。
尽管观察性研究不能证明因果关系,但上述令人鼓舞的发现仍然获得了业内的认可。在JACC同期刊发的社论中,哈佛医学院(Harvard Medical School)和加州大学洛杉矶分校(UCLA)的几位专家表示:大量观察性研究的结果表明了omega-3的益处,证明高纯度EPA处方成分能够显著降低心血管风险的REDUCE-IT研究则“开创了omega-3成分用于心血管预防的新纪元”,虽然omega-3膳食补充成分不能和处方药划等号,但根据这项新研究的结果,建议人们增加摄入富含omega-3(包括不同亚型成分)的食物是合理的。另外,尽管通过饮食,ALA转化为EPA和DHA的效率很低,但这项研究中观察到的独立益处提示了关注这一饮食成分。而且,“尽管这项研究纳入的是STEMI患者,但结果可能适用于所有患有动脉粥样硬化或已处于高风险的患者。”
来源:ey_global e药环球
原文链接:http://mp.weixin.qq.com/s?__biz=MzIzMzUyMzUwNw==&mid=2247498558&idx=2&sn=e8aa6abadfd1764ce701ec4cbea66259&chksm=e886eb62dff16274fa5740ed48149370414faa711b5347f23e7d32c43664a3cdf08d07bcba01&scene=27#wechat_redirect
版权声明:除非特别注明,本站所载内容来源于互联网、微信公众号等公开渠道,不代表本站观点,仅供参考、交流、公益传播之目的。转载的稿件版权归原作者或机构所有,如有侵权,请联系删除。
电话:(010)86409582
邮箱:kejie@scimall.org.cn