利用光电掺杂,在同一芯片上同时集成高容量存储器和可编程pn结

材料人  |   2020-09-13 09:30

来源:材料人

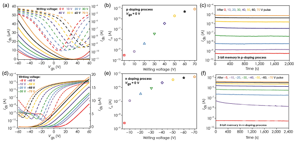
在大数据时代背景下,传统数据处理方法中存储器与处理器相分离的架构带来了冯·诺依曼瓶颈问题,即存储器和处理器的运行速度均能达到相当水平,但连接这两部分的总线传输速度远远达不到要求,频繁的数据通信造成计算延迟且造成更大的功耗。因此在同一种掺杂工艺下,在同一芯片内同时实现逻辑运算电路和高容量存储器的构建,实现近存储运算,可以突破冯·诺依曼瓶颈,提高处理效率。近日,天津大学胡晓东、刘晶团队利用一种极性可控、掺杂程度可调、非易失和可重构的光电掺杂方法,在同一芯片上同时集成基于MoTe2场效应管的高容量存储器和可编程pn结。主要内容如下:(1)利用光电掺杂实现了MoTe2场效应管载流子类型和浓度可以动态调控;(2)利用光电掺杂的非易失性和可控性,在p和n掺杂过程中均实现了3-bit闪存;(3)利用光电掺杂的区域可控性,实现了可编程的MoTe2同质结,包括nn,pp,pn和np结;其中MoTe2 pn结表现了优秀的整流特性,整流比达到了103 ,应用于光电探测和光伏器件的设计。该光电掺杂的详细机理阐述,请参考我们以前的工作:Wu, E. X.; Xie, Y.; Zhang, J.; Zhang, H.; Hu, X. D.; Liu, J.; Zhou, C. W.; Zhang, D. H. Dynamically controllable polarity modulation of MoTe2 field-effect transistors through ultraviolet light and electrostatic activation. Sci. Adv. 2019, 5, eaav3430本文参考文献:Wu, E., Xie, Y., Wang, S. et al. Non-volatile programmable homogeneous lateral MoTe2 junction for multi-bit flash memory and high-performance optoelectronics. Nano Res. (2020). https://doi.org/10.1007/s12274-020-3041-0图文导读wt_a72352020091135755_3cdedb.jpg图1:器件结构及电学性能表征wt_a82312020091535756_40d678.jpg图2:MoTe2光电p和n掺杂电学性能表征及其原理示意图wt_a42302020915135756_441b23.jpg图3:MoTe2在p和n掺杂过程中形成的3-bit MoTe2闪存wt_a82312020091535756_476054.jpg图4:可编程的MoTe2同质结:pn,np,pp和nn结通讯作者及团队介绍胡晓东天津大学教授。主持国家自然科学基金项目2项,国家973计划课题1项,国家863计划子项目3项,省部级重点项目2项,作为主要参与人完成国家和省部级项目10余项;近年在Science Advances,ACS NANO等国际顶级期刊上来发表学术论文100余篇;已授权发明专利10项,撰写了2项国家标准.刘晶2013年11月至今任天津大学精密仪器与光电子工程学院副教授,2006年与2008年分别获得华中科技大学光信息与技术专业学士和硕士学位,2012年12月获得于美国密歇根大学生物医学工程系博士学位。2014年入选天津市第十批青年千人项目,荣获天津大学北洋青年学者骨干教师称号。主要研究方向包括纳米材料器件物理、纳米材料传感器,以及它们在柔性传感、光电检测和临床医疗等领域的应用。2009年至今,在Science Advances,ACS NANO等国际期刊上发表SCI论文40篇,平均影响因子8.73,总引用800余次,h指数15。多次受邀参加国内外学术会议并做大会报告。承担国家自然科学性基金和国家重点研发计划等项目。武恩秀天津大学在读博士。目前以第一作者、共同第一作者,通讯作者发表SCI论文13篇。主要研究方向为二维纳米半导体器件输运特性及其先进电子器件应用,包括气体传感器、光电探测器、多值反相器、倍频器,多态闪存。受邀Nature Electronics、ACS NANO、Nano-Micro Letter、Applied Physics Letters等国际知名期刊的审稿人。

来源:icailiaoren 材料人

原文链接:https://mp.weixin.qq.com/s?__biz=MjM5ODcyMzk0Mg==&mid=2651083366&idx=3&sn=5942de84ff8dec2a6d30d2c31d9d50c8&chksm=bd369a6f8a411379c551a67e9626c289342a3ab6a2974095afb59b149df462b30d555d733959#rd

版权声明:除非特别注明,本站所载内容来源于互联网、微信公众号等公开渠道,不代表本站观点,仅供参考、交流、公益传播之目的。转载的稿件版权归原作者或机构所有,如有侵权,请联系删除。

电话:(010)86409582

邮箱:kejie@scimall.org.cn

相关推荐 换一换