来源:中国科学杂志社
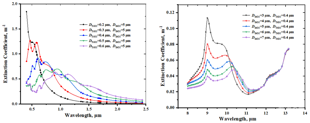
每年全球消耗在制冷活动上的能量约占全球发电量的1/7。日间辐射致冷是一种在不消耗任何能量情况下通过强烈反射太阳辐射(0.3~2.5μm)和利用“大气窗口”(8~13 μm)与外太空(3 K)进行辐射换热达到冷却降温的技术。近年来膜材料、光子调控、多层涂层等实现辐射致冷的方法发展迅速,但均受到制备工艺复杂、成本高,实际应用中受限等问题的制约。哈尔滨工业大学程子明等人针对以上问题,采用单层含混合粒子辐射致冷涂层的设计,撰写完成文章“Optical properties and cooling performance analyses of single-layer radiative cooling coating with mixture of TiO2 particles and SiO2 particles”,在线发表于《中国科学:技术科学》(英文版)。该研究将在太阳波段具有良好反射特性的TiO2粒子与在“大气窗口”波段具有良好发射特性的SiO2粒子混合,设计了一种单层含混合粒子辐射冷却涂层,并发展了适用于含多种粒子且非均一粒径的粒子系辐射特性算法,耦合蒙特卡罗射线踪迹法,求解了光线在混合粒子辐射致冷涂层内部的辐射传输方程,优化了两种粒子的体积分数、粒径及涂层厚度以达到辐射致冷涂层最佳致冷效果。计算结果得出:TiO2和SiO2粒子最优体积分数分别为5.0%和5.5%,TiO2和SiO2粒子最优粒径分别为0.4 μm和5.0μm,综合考虑成本及涂层性能,最佳涂层厚度为400 μm。该辐射致冷涂层的光谱特性可实现基底无关性,在最优参数计算结果下,该辐射致冷涂层在太阳光谱波段的平均反射率为95.6%,“大气窗口”波段的平均发射率可达94.9%。该研究结果可为含混合粒子的单层辐射致冷涂层的设计和优化提供理论指导。
单层含TiO2和SiO2混合粒子辐射致冷涂层示意图
不同粒子体积分数下的单层辐射致冷涂层光谱反射率
不同粒子粒径下的单层辐射致冷涂层光谱衰减系数来源:scichina1950 中国科学杂志社
原文链接:https://mp.weixin.qq.com/s?__biz=MzA3MzQ5MzQyNA==&mid=2656805129&idx=2&sn=68f0793986e256e918d116707c5cd400&chksm=84a13fd6b3d6b6c08cfcd555d3070651ccbc0e098dcaa33a8bff14a2bf7404297a8d6d2d2bf5#rd
版权声明:除非特别注明,本站所载内容来源于互联网、微信公众号等公开渠道,不代表本站观点,仅供参考、交流、公益传播之目的。转载的稿件版权归原作者或机构所有,如有侵权,请联系删除。
电话:(010)86409582
邮箱:kejie@scimall.org.cn