来源:Nature自然科研

近期,滑铁卢大学陈忠伟院士和华南师范大学王新副教授在Nature Communications 上发表了题为“Dynamic electrocatalyst with current-driven oxyhydroxide shell for rechargeable zinc-air battery”的研究论文,报道了双金属氮化物作为锌-空气电池的双功能电催化剂,首次提出‘动态电催化剂’概念,并揭示了其充放电过程中的电化学行为和结构演变过程。
2010年以来,锌-空气可充放电池受到极大的关注。相较于传统的锂离子电子,二次锌-空气电池具有一系列的优势,比如更高的理论能量密度,更长的循环寿命,更好的安全性以及更低廉的价格,这些优势也使其被纳入了下一代电化学能源储存系统的讨论范畴。目前,二次锌-空气电池研究的主要挑战在于缺乏合适的双功能电催化剂,以满足其在性能和成本上的商用需求,所以发展新型催化剂仍是目前锌-空气电池研究的核心。在过去的10年中,科研工作者开发了一系列的双功能催化剂。其中,金属类材料被认为是较有前景的候选者,主要包括金属单质、合金、氧化物、硫化物、磷化物、氮化物等。这些材料在被用于锌-空气电池中时,常常能获得长达数百小时的循环寿命,因而被认为是稳定且持久的电催化剂。但是,近期关于氧析出以及氧还原电催化过程的机理研究却表明,金属类材料在施加电压的三电极体系中并不稳定,其衍生的羟基氧化物或者氧化物才是其表现电催化性能的活性物质。这一相悖的结论揭露了一个常被习惯性忽视的事实,即材料在锌-空气电池运行中的真实形态可能是与初始形态不同的,而直接把材料的初始性质与电池性能的优劣相关联是不准确的,尽管材料的初始性质(例如孔结构、导电性)的差异,的确会对其电催化热力学以及动力学过程有一定的影响。因此,对于电催化剂在锌-空气电池运行中电化学行为的机理研究十分有必要。

图1 | 双金属氮化物的电化学性能
作者在这项工作中,开发了一种具有分级结构的钴、铁复合氮化物,并借此提出了“动态催化剂”这一概念,以描述金属类材料在锌-空气电池中的电化学行为。在锌-空气电池测试的初期,此催化剂表现出了一个较为明显的活化阶段,并伴随着充放电电压区间的逐步减小以及电池功率密度的逐渐提升(图1)。作者将这个现象描述为催化剂的熟化过程,即从初始的氮化物形态逐步成熟为具有电化学响应的活化状态。这一熟化过程带来了活性位点的转变,以及电化学活性面积的增加,从而导致了上述的电池性能提升。这一过程亦会对材料的电化学动力学的参数有影响,比如会引起材料的塔菲尔斜率的明显下降及后续的小幅回升。根据所表现出来的电化学行为,钴、铁复合氮化物在锌-空气电池的运行中,可主要归纳为三个阶段:新相初生成,活性相自调节以及终态成形。

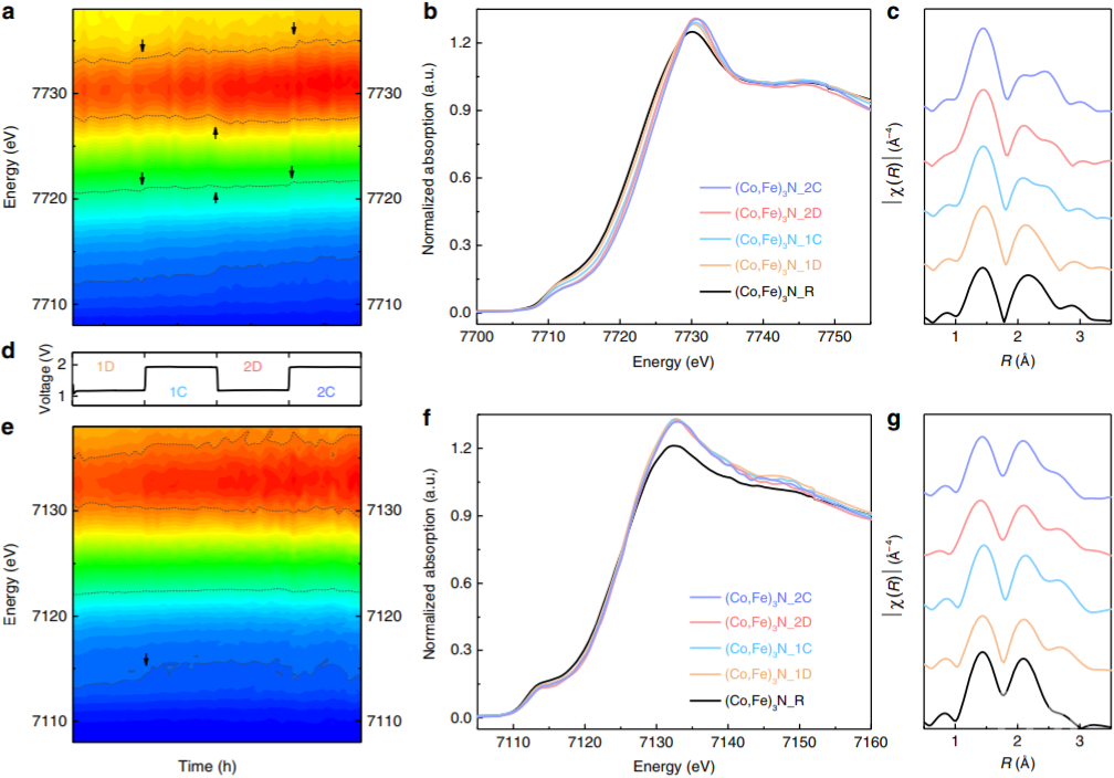
图2 | 锌空电池充放电过程中的原位X射线吸收光谱分析

图3 | 氮化物颗粒的电镜表征,电子能量损失谱分析以及演变过程示意图
作者通过联用非原位以及原位结构表征技术,验证了钴、铁复合氮化物熟化过程的三个阶段,揭示了所生成的具有“核-壳”差异的构型为氮化物在锌-空气电池运行过程的真实状态(图2,3)。其中,“核”为氮化物本身,而“壳”是具有电化学响应相的钴、铁复合的羟基氧化物。因为羟基氧化物具有远低于金属氮化物的电导率,尽管新相的生成带来了本征活性更高的活性位点,却会使得材料整体电导率的下降,从而惰化催化剂整体的电化学动力学参数。除此之外,钴和铁被证明在锌-空气电池运行过程中具有不同的作用,其中钴被证明是此氮化物的活性位点。这是因为在电池充放电阶段中,钴会随电流响应,分别表现出了四价(充电)或二价(放电)的特征,而铁则相对惰性,始终保持在三价。在电化学响应相内部,钴和铁之间在初期的组分重组,则对应于新相自调节阶段的性能提升。在最终形态成形之后,锌-空气电池的电化学参数趋于稳定。由此可见,锌-空气电池循环过程中,金属类催化剂并不是一成不变的,而是一个动态变化的过程。即时是在电池性能稳定下来之后,电化学响应相中的活性位点也依然随着充放电电流而作周期性的化学性质演变。
此工作详细研究了金属类电催化剂在锌-空气电池中的电化学演变过程,并讨论了活性相以及非响应相在电催化过程中所扮演的不同角色。所提出的“动态催化剂”的概念以及建立的“核-壳”活性构型,也为今后锌-空气电池电催化剂的设计合成提供了理论基础,并进一步加深了对于材料在电化学环境中的真实形态的理解。
© nature
ncomm | doi:10.1038/s41467-020-15853-1
点击“阅读原文”阅读论文原文
Dynamic electrocatalyst with current-driven oxyhydroxide shell for rechargeable zinc-air battery
© 2020 Springer Nature Limited. All Rights Reserved

来源:Nature-Research Nature自然科研
原文链接:http://mp.weixin.qq.com/s?__biz=MzAwNTAyMDY0MQ==&mid=2652570971&idx=3&sn=4cdb67707e648e2d436462e2c9690638&chksm=80ccabd5b7bb22c3ec50f7988202104d6a169c712cae56a3b9e5a8d708711823e56f03cbdae4&scene=27#wechat_redirect
版权声明:除非特别注明,本站所载内容来源于互联网、微信公众号等公开渠道,不代表本站观点,仅供参考、交流、公益传播之目的。转载的稿件版权归原作者或机构所有,如有侵权,请联系删除。
电话:(010)86409582
邮箱:kejie@scimall.org.cn